Официальное опубликование правовых актов
ОФИЦИАЛЬНОЕ ОПУБЛИКОВАНИЕ
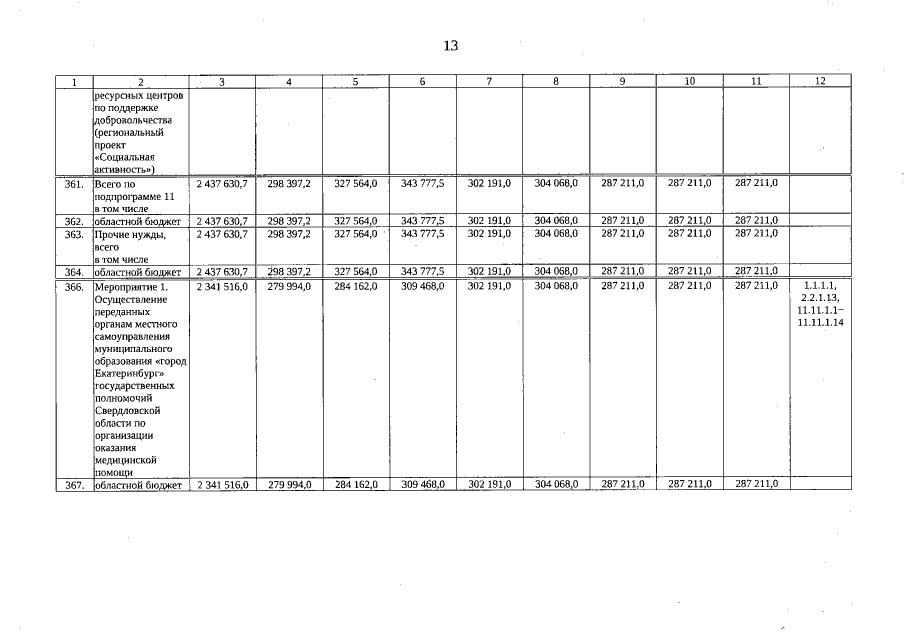
Постановление Правительства Свердловской области от 05.12.2019 № 872-ПП
"О внесении изменений в государственную программу Свердловской области "Развитие здравоохранения Свердловской области до 2024 года", утвержденную постановлением Правительства Свердловской области от 21.10.2013 № 1267-ПП"
Номер опубликования: 6600201912100009
Дата опубликования: 10.12.2019
Страница №13 из 14:
Увеличить