Официальное опубликование правовых актов
ОФИЦИАЛЬНОЕ ОПУБЛИКОВАНИЕ
Постановление Правительства Свердловской области от 05.12.2019 № 867-ПП
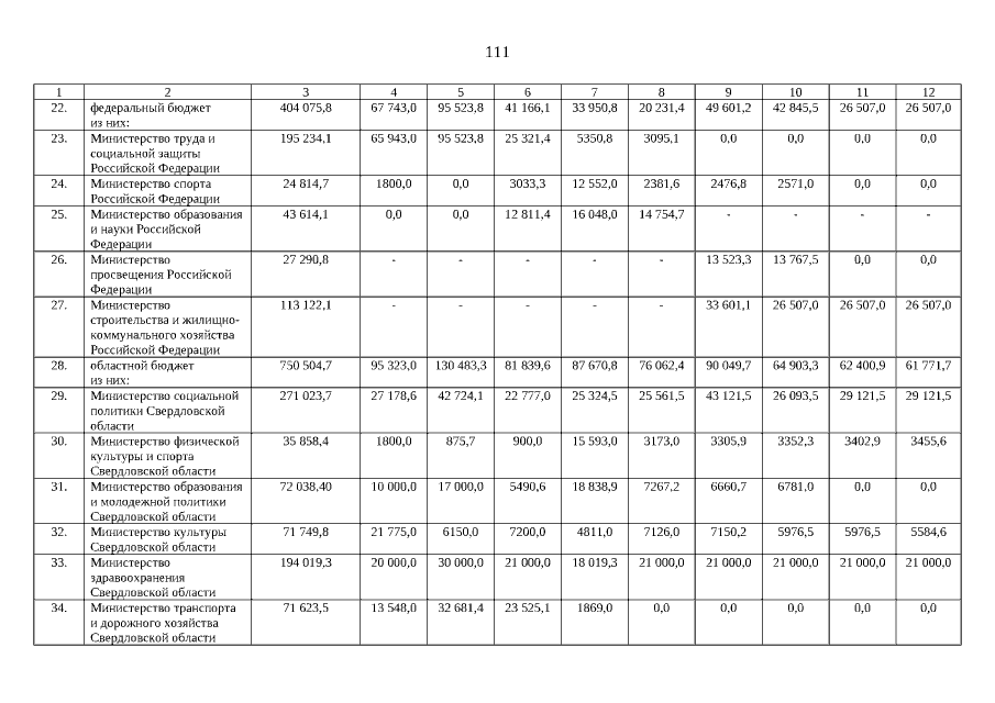
"О внесении изменений в постановление Правительства Свердловской области от 22.01.2014 № 23-ПП "Об утверждении комплексной программы Свердловской области "Доступная среда" на 2014-2020 годы"
Номер опубликования: 6600201912100004
Дата опубликования: 10.12.2019
Страница №111 из 166:
Увеличить