Официальное опубликование правовых актов
ОФИЦИАЛЬНОЕ ОПУБЛИКОВАНИЕ
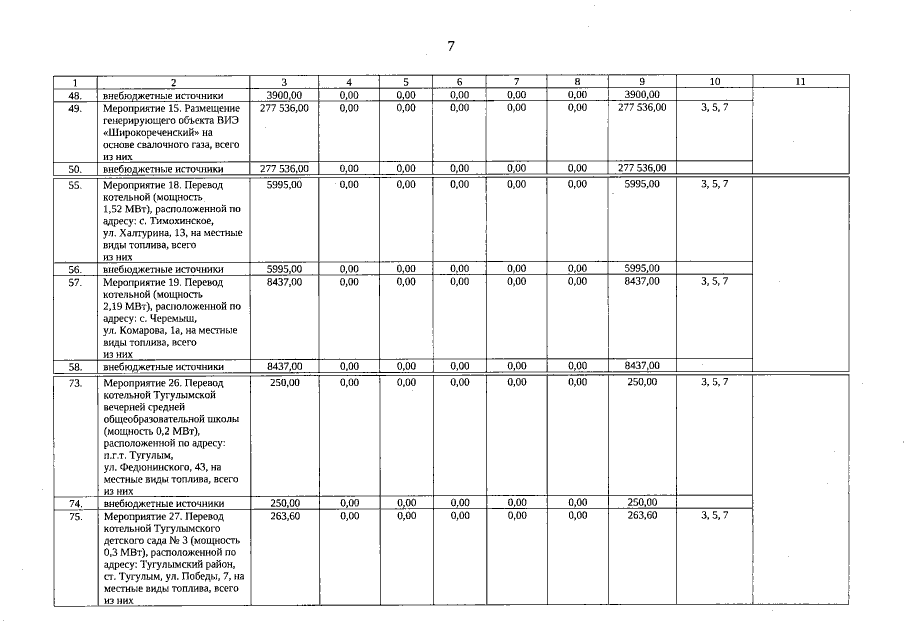
Постановление Правительства Свердловской области от 05.12.2019 № 877-ПП
"О внесении изменений в комплексную программу Свердловской области "Вовлечение местных топливных ресурсов в топливный баланс Свердловской области до 2020 года", утвержденную постановлением Правительства Свердловской области от 01.10.2015 № 879-ПП"
Номер опубликования: 6600201912100003
Дата опубликования: 10.12.2019
Страница №7 из 12:
Увеличить