Официальное опубликование правовых актов
ОФИЦИАЛЬНОЕ ОПУБЛИКОВАНИЕ
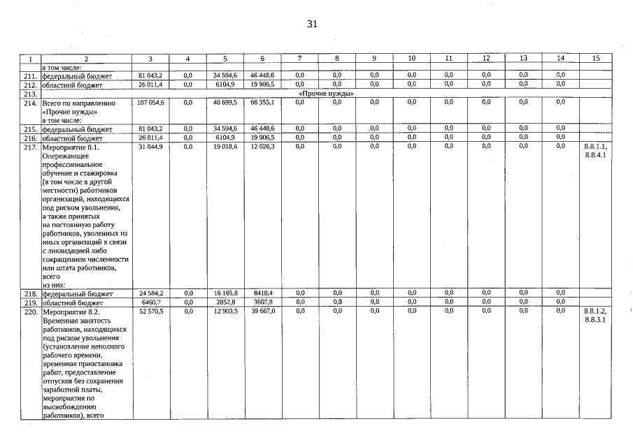
Постановление Правительства Свердловской области от 03.10.2019 № 666-ПП
"О внесении изменений в постановление Правительства Свердловской области от 21.10.2013 № 1272-ПП "Об утверждении государственной программы Свердловской области "Содействие занятости населения Свердловской области до 2024 года"
Номер опубликования: 6600201910100015
Дата опубликования: 10.10.2019
Страница №31 из 39:
Увеличить