Официальное опубликование правовых актов
ОФИЦИАЛЬНОЕ ОПУБЛИКОВАНИЕ
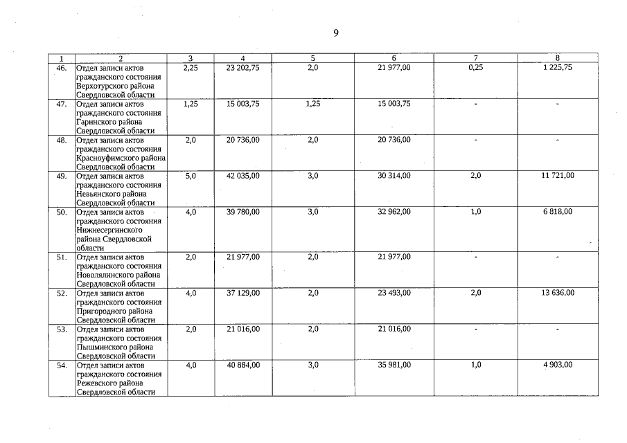
Постановление Правительства Свердловской области от 03.10.2019 № 671-ПП
"О внесении изменений в предельный лимит штатной численности и фонд по должностным окладам в месяц Управления записи актов гражданского состояния Свердловской области и отделов записи актов гражданского состояния в городах и районах Свердловской области, утвержденные постановлением Правительства Свердловской области от 21.12.2005 № 1102-ПП"
Номер опубликования: 6600201910100004
Дата опубликования: 10.10.2019
Страница №9 из 11:
Увеличить