Официальное опубликование правовых актов
ОФИЦИАЛЬНОЕ ОПУБЛИКОВАНИЕ
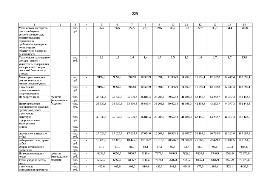
Указ Губернатора Свердловской области от 18.09.2019 № 450-УГ
"Об утверждении Лесного плана Свердловской области на 2019–2028 годы"
Номер опубликования: 6600201909250020
Дата опубликования: 25.09.2019
Страница №225 из 244:
Увеличить