Официальное опубликование правовых актов
ОФИЦИАЛЬНОЕ ОПУБЛИКОВАНИЕ
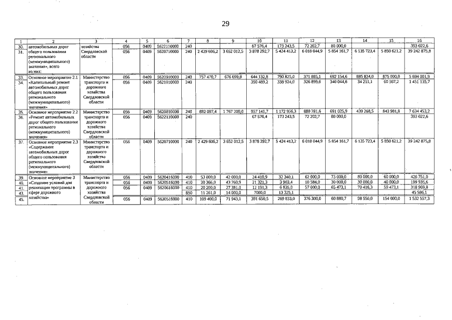
Постановление Правительства Свердловской области от 18.09.2019 № 602-ПП
"О внесении изменений в государственную программу Свердловской области "Развитие транспортного комплекса Свердловской области до 2024 года", утвержденную постановлением Правительства Свердловской области от 25.01.2018 № 28-ПП"
Номер опубликования: 6600201909250003
Дата опубликования: 25.09.2019
Страница №29 из 32:
Увеличить