Официальное опубликование правовых актов
ОФИЦИАЛЬНОЕ ОПУБЛИКОВАНИЕ
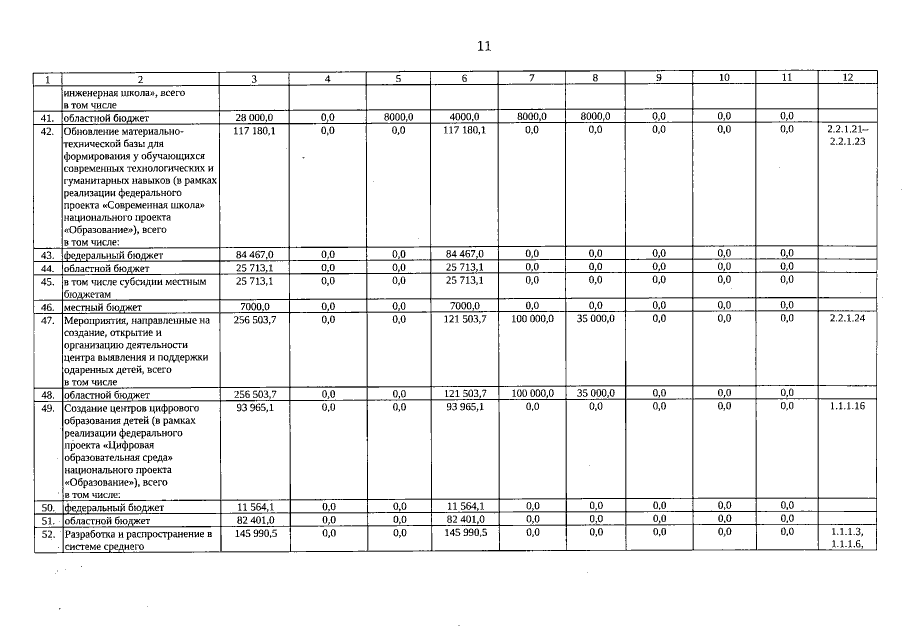
Постановление Правительства Свердловской области от 05.09.2019 № 572-ПП
"О внесении изменений в государственную программу Свердловской области "Развитие системы образования в Свердловской области до 2024 года", утвержденную постановлением Правительства Свердловской области от 29.12.2016 № 919-ПП"
Номер опубликования: 6600201909120007
Дата опубликования: 12.09.2019
Страница №11 из 45:
Увеличить