Официальное опубликование правовых актов
ОФИЦИАЛЬНОЕ ОПУБЛИКОВАНИЕ
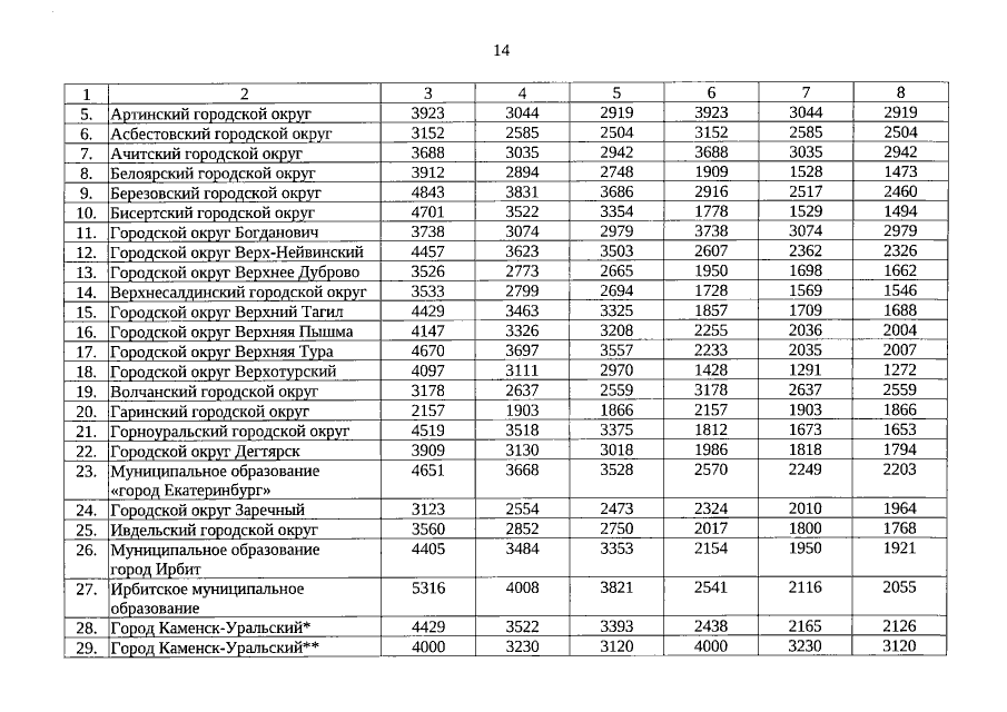
Постановление Правительства Свердловской области от 06.08.2019 № 509-ПП
"Об областном стандарте стоимости жилищно-коммунальных услуг на 2019 год"
Номер опубликования: 6600201908090015
Дата опубликования: 09.08.2019
Страница №14 из 17:
Увеличить