Официальное опубликование правовых актов
ОФИЦИАЛЬНОЕ ОПУБЛИКОВАНИЕ
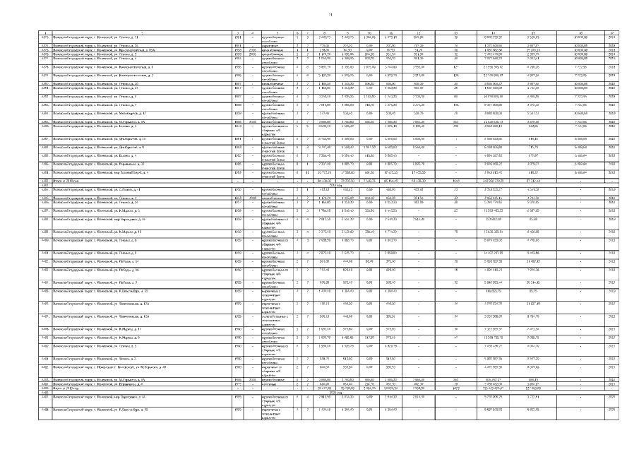
Постановление Правительства Свердловской области от 06.08.2019 № 510-ПП
"О внесении изменений в Краткосрочный план реализации Региональной программы капитального ремонта общего имущества в многоквартирных домах Свердловской области на 2018–2020 годы на территории Свердловской области, утвержденный постановлением Правительства Свердловской области от 31.08.2017 № 643-ПП"
Номер опубликования: 6600201908090003
Дата опубликования: 09.08.2019
Страница №71 из 129:
Увеличить