Официальное опубликование правовых актов
ОФИЦИАЛЬНОЕ ОПУБЛИКОВАНИЕ
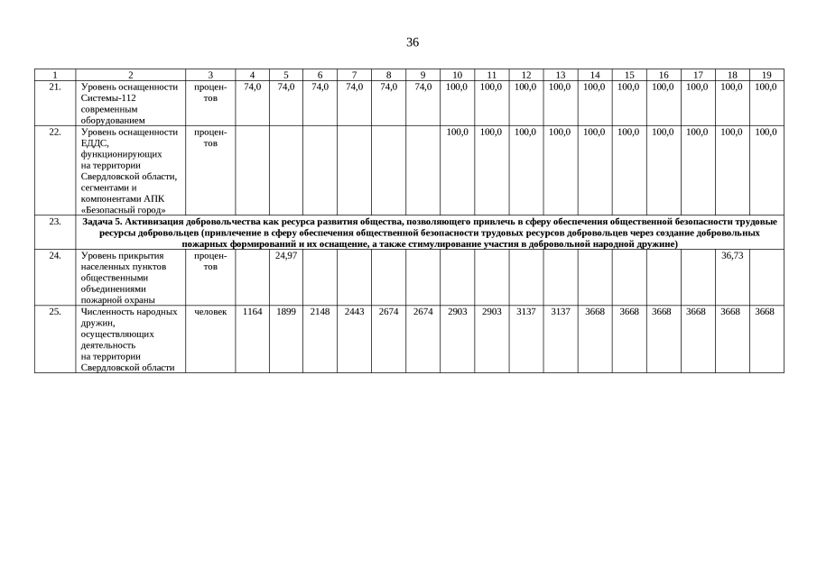
Постановление Правительства Свердловской области от 01.08.2019 № 490-ПП
"Об утверждении Стратегии обеспечения безопасности жизнедеятельности населения Свердловской области на период до 2035 года"
Номер опубликования: 6600201908080035
Дата опубликования: 08.08.2019
Страница №36 из 58:
Увеличить