Официальное опубликование правовых актов
ОФИЦИАЛЬНОЕ ОПУБЛИКОВАНИЕ
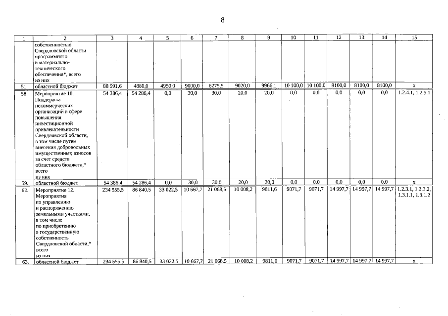
Постановление Правительства Свердловской области от 01.08.2019 № 457-ПП
"О внесении изменений в государственную программу Свердловской области "Повышение эффективности управления государственной собственностью Свердловской области до 2024 года", утвержденную постановлением Правительства Свердловской области от 21.10.2013 № 1264-ПП"
Номер опубликования: 6600201908080024
Дата опубликования: 08.08.2019
Страница №8 из 12:
Увеличить