Официальное опубликование правовых актов
ОФИЦИАЛЬНОЕ ОПУБЛИКОВАНИЕ
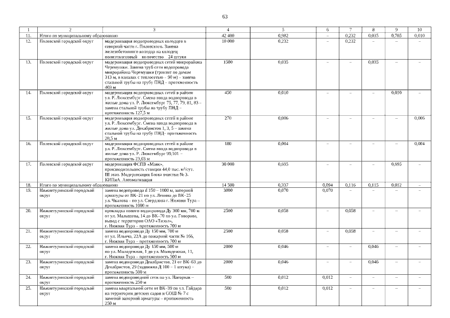
Постановление Правительства Свердловской области от 01.08.2019 № 452-ПП
"О внесении изменений в государственную программу Свердловской области "Развитие жилищно-коммунального хозяйства и повышение энергетической эффективности в Свердловской области до 2024 года", утвержденную постановлением Правительства Свердловской области от 29.10.2013 № 1330-ПП"
Номер опубликования: 6600201908080007
Дата опубликования: 08.08.2019
Страница №63 из 104:
Увеличить