Официальное опубликование правовых актов
ОФИЦИАЛЬНОЕ ОПУБЛИКОВАНИЕ
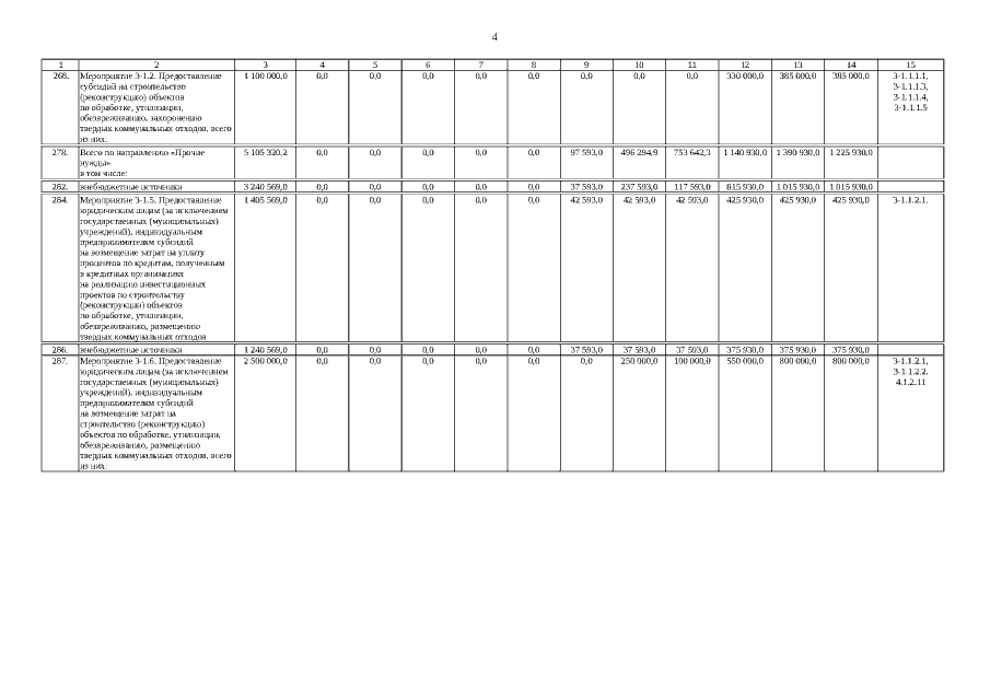
Постановление Правительства Свердловской области от 20.06.2019 № 374-ПП
"О внесении изменений в государственную программу Свердловской области "Развитие жилищно-коммунального хозяйства и повышение энергетической эффективности в Свердловской области до 2024 года", утвержденную постановлением Правительства Свердловской области от 29.10.2013 № 1330-ПП"
Номер опубликования: 6600201906260009
Дата опубликования: 26.06.2019
Страница №4 из 5:
Увеличить