Официальное опубликование правовых актов
ОФИЦИАЛЬНОЕ ОПУБЛИКОВАНИЕ
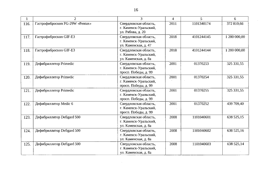
Постановление Правительства Свердловской области от 13.06.2019 № 350-ПП
"О создании государственного автономного учреждения здравоохранения Свердловской области "Городская больница город Каменск-Уральский" путем изменения типа существующего государственного бюджетного учреждения здравоохранения Свердловской области "Городская больница город Каменск-Уральский"
Номер опубликования: 6600201906180015
Дата опубликования: 18.06.2019
Страница №16 из 49:
Увеличить