Официальное опубликование правовых актов
ОФИЦИАЛЬНОЕ ОПУБЛИКОВАНИЕ
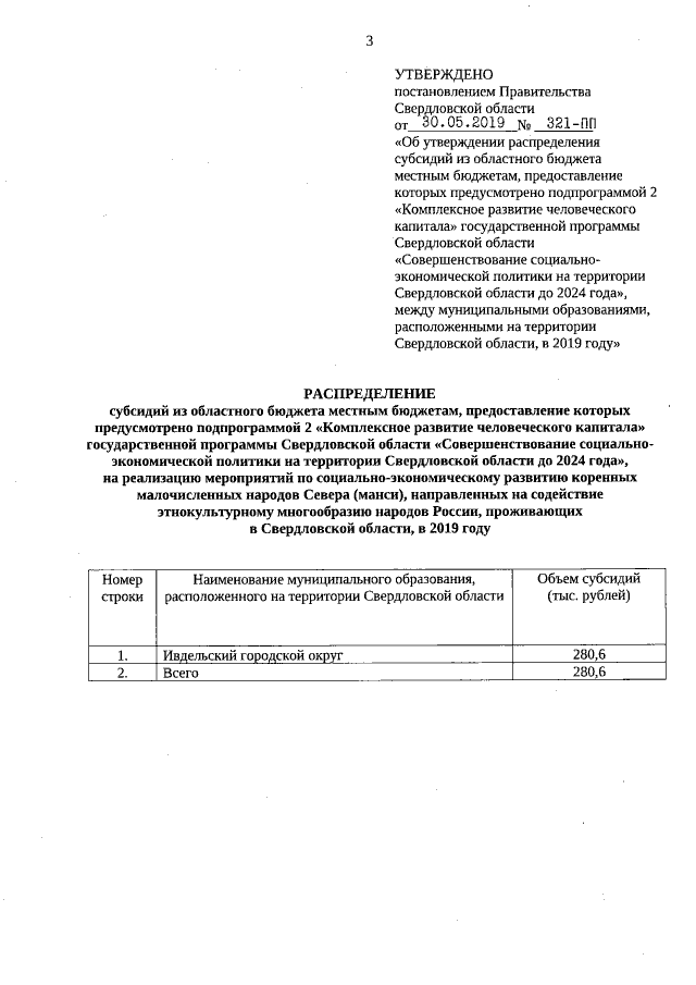
Постановление Правительства Свердловской области от 30.05.2019 № 321-ПП
"Об утверждении распределения субсидий из областного бюджета местным бюджетам, предоставление которых предусмотрено подпрограммой 2 "Комплексное развитие человеческого капитала" государственной программы Свердловской области "Совершенствование социально-экономической политики на территории Свердловской области до 2024 года", между муниципальными образованиями, расположенными на территории Свердловской области, в 2019 году"
Номер опубликования: 6600201906060011
Дата опубликования: 06.06.2019
Страница №3 из 3:
Увеличить