Официальное опубликование правовых актов
ОФИЦИАЛЬНОЕ ОПУБЛИКОВАНИЕ
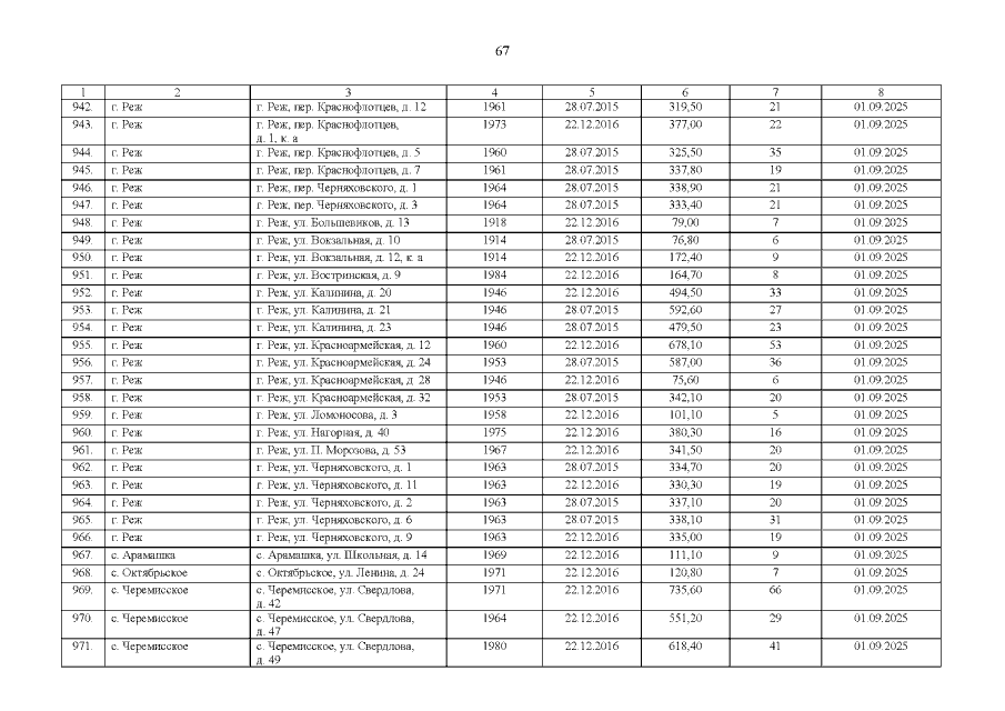
Постановление Правительства Свердловской области от 01.04.2019 № 208-ПП
"Об утверждении региональной адресной программы "Переселение граждан на территории Свердловской области из аварийного жилищного фонда в 2019–2025 годах"
Номер опубликования: 6600201904050009
Дата опубликования: 05.04.2019
Страница №67 из 89:
Увеличить