Официальное опубликование правовых актов
ОФИЦИАЛЬНОЕ ОПУБЛИКОВАНИЕ
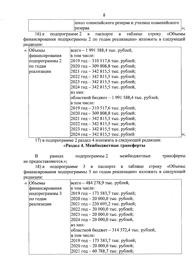
Постановление Правительства Свердловской области от 07.03.2019 № 156-ПП
"О внесении изменений в государственную программу Свердловской области "Развитие физической культуры и спорта в Свердловской области до 2024 года", утвержденную постановлением Правительства Свердловской области от 29.10.2013 № 1332-ПП"
Номер опубликования: 6600201903130020
Дата опубликования: 13.03.2019
Страница №8 из 56:
Увеличить