Официальное опубликование правовых актов
ОФИЦИАЛЬНОЕ ОПУБЛИКОВАНИЕ
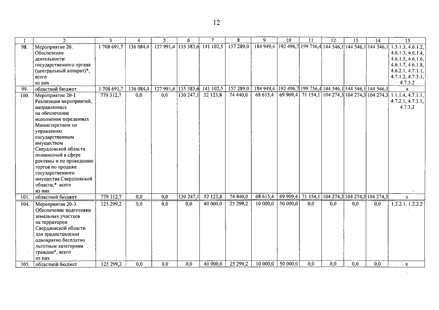
Постановление Правительства Свердловской области от 27.02.2019 № 128-ПП
"О внесении изменений в государственную программу Свердловской области "Повышение эффективности управления государственной собственностью Свердловской области до 2024 года", утвержденную постановлением Правительства Свердловской области от 21.10.2013 № 1264-ПП"
Номер опубликования: 6600201903060015
Дата опубликования: 06.03.2019
Страница №12 из 17:
Увеличить