Официальное опубликование правовых актов
ОФИЦИАЛЬНОЕ ОПУБЛИКОВАНИЕ
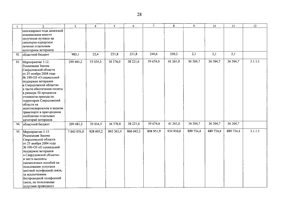
Постановление Правительства Свердловской области от 21.02.2019 № 94-ПП
"О внесении изменений в государственную программу Свердловской области "Социальная поддержка и социальное обслуживание населения Свердловской области до 2024 года", утвержденную постановлением Правительства Свердловской области от 05.07.2017 № 480-ПП"
Номер опубликования: 6600201902260022
Дата опубликования: 26.02.2019
Страница №28 из 84:
Увеличить