Официальное опубликование правовых актов
ОФИЦИАЛЬНОЕ ОПУБЛИКОВАНИЕ
Постановление Правительства Свердловской области от 15.01.2019 № 5-ПП
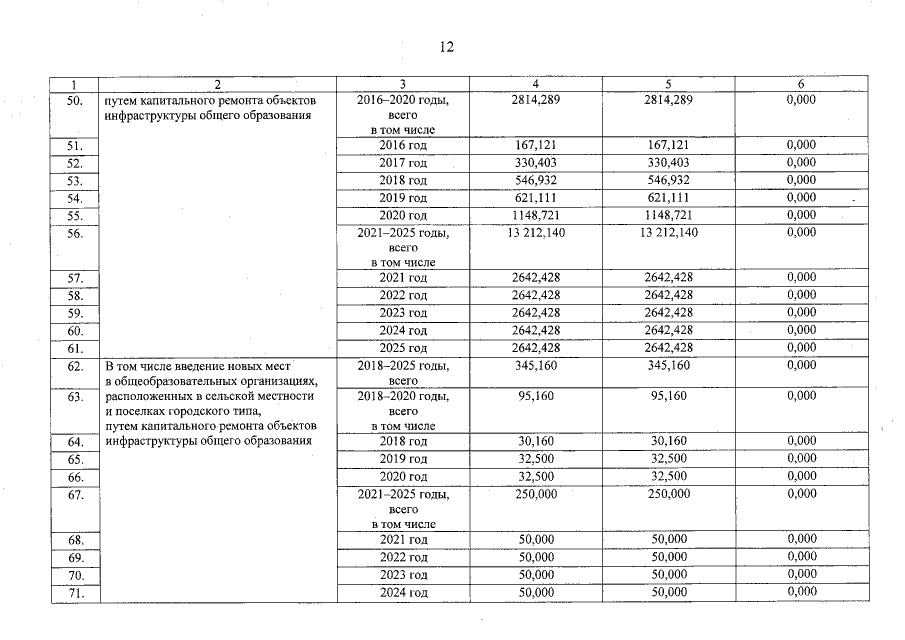
"О внесении изменений в постановление Правительства Свердловской области от 25.01.2016 № 53-ПП "Об утверждении государственной программы "Содействие созданию в Свердловской области (исходя из прогнозируемой потребности) новых мест в общеобразовательных организациях" на 2016-2025 годы"
Номер опубликования: 6600201901220007
Дата опубликования: 22.01.2019
Страница №12 из 18:
Увеличить