Официальное опубликование правовых актов
ОФИЦИАЛЬНОЕ ОПУБЛИКОВАНИЕ
Постановление Правительства Свердловской области от 26.12.2018 № 948-ПП
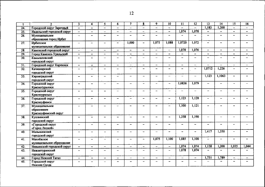
"О внесении изменений в постановление Правительства Свердловской области от 02.04.2014 № 278-ПП "Об утверждении порядков расчета объемов (размеров) субвенций, предоставляемых из областного бюджета местным бюджетам на финансовое обеспечение государственных гарантий реализации прав на получение общедоступного и бесплатного дошкольного образования в муниципальных дошкольных образовательных организациях, дошкольного, начального общего, основного общего, среднего общего образования в муниципальных общеобразовательных организациях и обеспечение дополнительного образования детей в муниципальных общеобразовательных организациях"
Номер опубликования: 6600201812290014
Дата опубликования: 29.12.2018
Страница №12 из 48:
Увеличить