Официальное опубликование правовых актов
ОФИЦИАЛЬНОЕ ОПУБЛИКОВАНИЕ
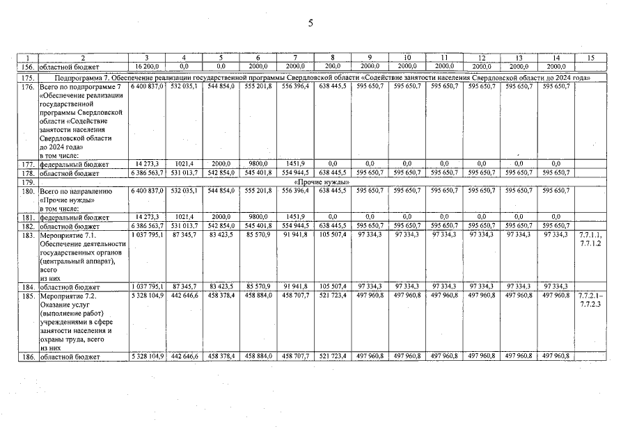
Постановление Правительства Свердловской области от 26.12.2018 № 982-ПП
"О внесении изменений в государственную программу Свердловской области "Содействие занятости населения Свердловской области до 2024 года", утвержденную постановлением Правительства Свердловской области от 21.10.2013 № 1272-ПП"
Номер опубликования: 6600201812290012
Дата опубликования: 29.12.2018
Страница №5 из 5:
Увеличить