Официальное опубликование правовых актов
ОФИЦИАЛЬНОЕ ОПУБЛИКОВАНИЕ
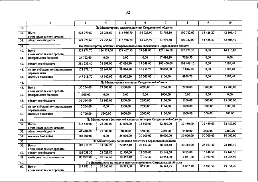
Постановление Правительства Свердловской области от 20.12.2018 № 912-ПП
"О внесении изменений в постановление Правительства Свердловской области от 03.06.2014 № 471-ПП "Об утверждении комплексной программы Свердловской области "Развитие агропромышленного комплекса и сельских населенных пунктов Свердловской области ("Уральская деревня") до 2020 года"
Номер опубликования: 6600201812250027
Дата опубликования: 25.12.2018
Страница №32 из 33:
Увеличить