Официальное опубликование правовых актов
ОФИЦИАЛЬНОЕ ОПУБЛИКОВАНИЕ
Постановление Правительства Свердловской области от 03.05.2018 № 274-ПП
"Об утверждении границ зон охраны объекта культурного наследия регионального значения "Сретенская церковь", расположенного по адресу: г. Ирбит, ул. Революции, 27б, режимов использования земель и требований к градостроительным регламентам в границах данных зон"
Номер опубликования: 6600201805100006
Дата опубликования: 10.05.2018
Страница №59 из 85:
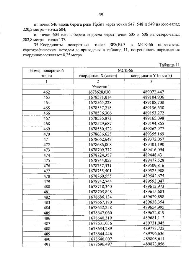
Увеличить