Официальное опубликование правовых актов
ОФИЦИАЛЬНОЕ ОПУБЛИКОВАНИЕ
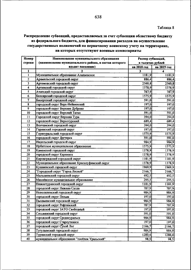
Закон Свердловской области от 19.12.2016 № 131-ОЗ
"Об областном бюджете на 2017 год и плановый период 2018 и 2019 годов"
Номер опубликования: 6600201612230019
Дата опубликования: 23.12.2016
Страница №638 из 662:
Увеличить