Официальное опубликование правовых актов
ОФИЦИАЛЬНОЕ ОПУБЛИКОВАНИЕ
Постановление Правительства Свердловской области от 15.06.2016 № 426-ПП
"О внесении изменений в проект "Первый этап проекта планировки и проекта межевания территории для размещения объектов инфраструктуры, необходимых для осуществления мероприятий, включенных в Программу подготовки к проведению в 2018 году в Российской Федерации чемпионата мира по футболу", утвержденный постановлением Правительства Свердловской области от 17.02.2015 № 108-ПП"
Номер опубликования: 6600201606220006
Дата опубликования: 22.06.2016
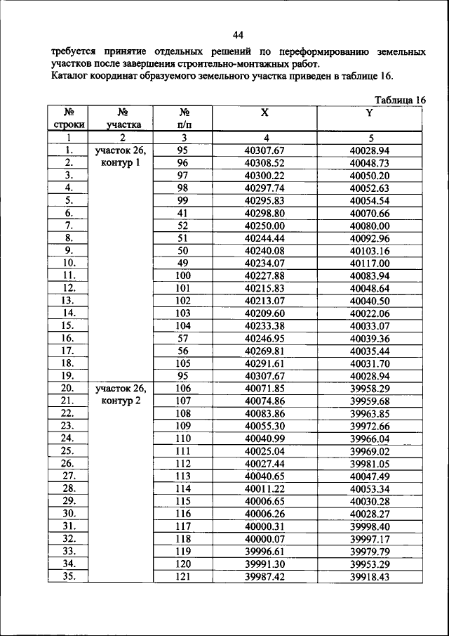
Страница №44 из 137:
Увеличить