Официальное опубликование правовых актов
ОФИЦИАЛЬНОЕ ОПУБЛИКОВАНИЕ
Постановление Правительства Свердловской области от 25.11.2015 № 1068-ПП
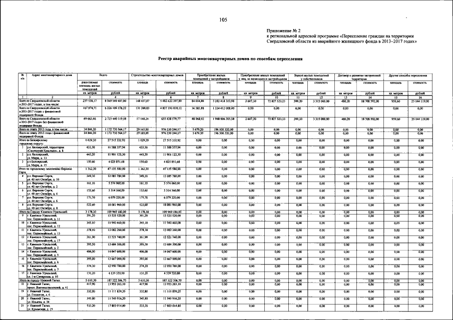
"О внесении изменений в региональную адресную программу "Переселение граждан на территории Свердловской области из аварийного жилищного фонда в 2013 2017 годах", утвержденную постановлением Правительства Свердловской области от 10.06.2013 № 727-ПП"
Номер опубликования: 6600201512040004
Дата опубликования: 04.12.2015
Страница №105 из 141:
Увеличить