Официальное опубликование правовых актов
ОФИЦИАЛЬНОЕ ОПУБЛИКОВАНИЕ
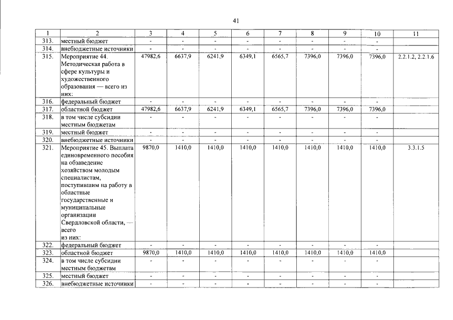
Постановление Правительства Свердловской области от 05.08.2015 № 705-ПП
"О внесении изменений в государственную программу Свердловской области "Развитие культуры в Свердловской области до 2020 года", утвержденную постановлением Правительства Свердловской области от 21.10.2013 № 1268-ПП"
Номер опубликования: 6600201508130005
Дата опубликования: 13.08.2015
Страница №41 из 55:
Увеличить