Официальное опубликование правовых актов
ОФИЦИАЛЬНОЕ ОПУБЛИКОВАНИЕ
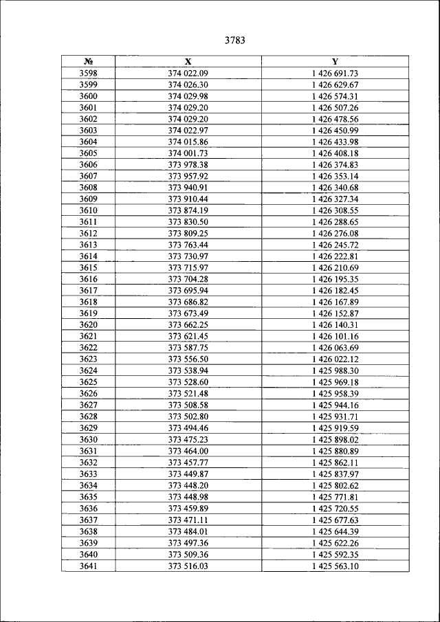
Закон Свердловской области от 20.07.2015 № 95-ОЗ
"О границах муниципальных образований, расположенных на территории Свердловской области"
Номер опубликования: 6600201507290001
Дата опубликования: 29.07.2015
Страница №3783 из 4227:
Увеличить