Официальное опубликование правовых актов
ОФИЦИАЛЬНОЕ ОПУБЛИКОВАНИЕ
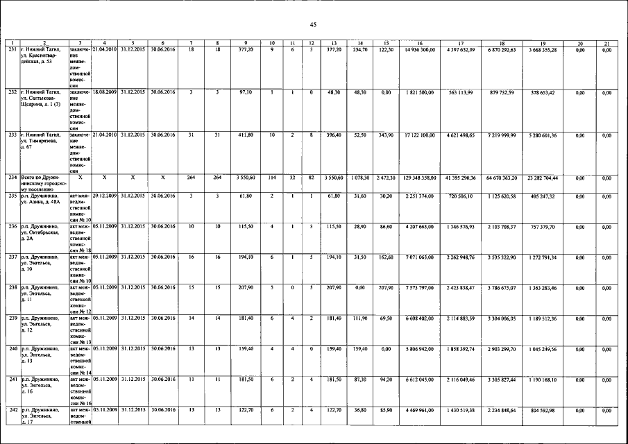
Постановление Правительства Свердловской области от 28.10.2014 № 936-ПП
"О внесении изменений в постановление Правительства Свердловской области от 10.06.2013 № 727-ПП "Об утверждении региональной адресной программы "Переселение граждан на территории Свердловской области из аварийного жилищного фонда с учетом необходимости развития малоэтажного жилищного строительства в 2013−2017 годах"
Номер опубликования: 6600201411060006
Дата опубликования: 06.11.2014
Страница №45 из 123:
Увеличить