Официальное опубликование правовых актов
ОФИЦИАЛЬНОЕ ОПУБЛИКОВАНИЕ
Приказ Министерства экологии и устойчивого развития Сахалинской области от 02.02.2026 № 1-3.06-47/26
"О внесении изменений в региональную программу Сахалинской области "Повышение объемов утилизации золошлаковых отходов V класса опасности", утвержденную приказом министерства экологии и устойчивого развития Сахалинской области от 06.05.2024 № 1-3.06-394/24"
(Зарегистрирован 02.02.2026 № 1-3.06-47/26)
Номер опубликования: 6501202602050003
Дата опубликования: 05.02.2026
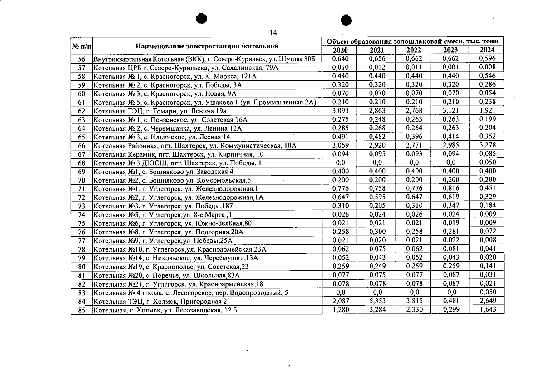
Страница №16 из 31:
Увеличить