Официальное опубликование правовых актов
ОФИЦИАЛЬНОЕ ОПУБЛИКОВАНИЕ
Приказ Министерства жилищно-коммунального хозяйства Сахалинской области от 11.07.2025 № 1-3.10-430/25
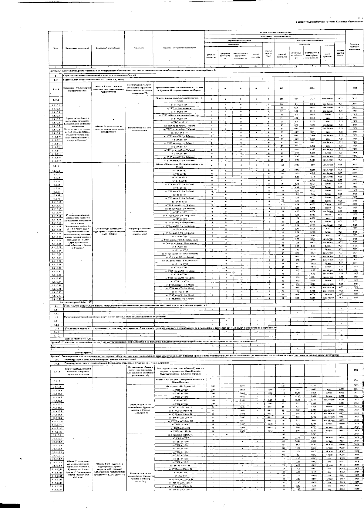
"внесении изменений в приказ министерства жилищно – коммунального хозяйства Сахалинской области от 16.11.2023 № 1-3.10-726/23 "Об утверждении инвестиционной программы в сфере теплоснабжения о. Кунашир ООО "Южно-Курильский водоканал" на 2023-2026 годы"
Номер опубликования: 6501202507160002
Дата опубликования: 16.07.2025
Страница №5 из 20:
Увеличить