Официальное опубликование правовых актов
ОФИЦИАЛЬНОЕ ОПУБЛИКОВАНИЕ
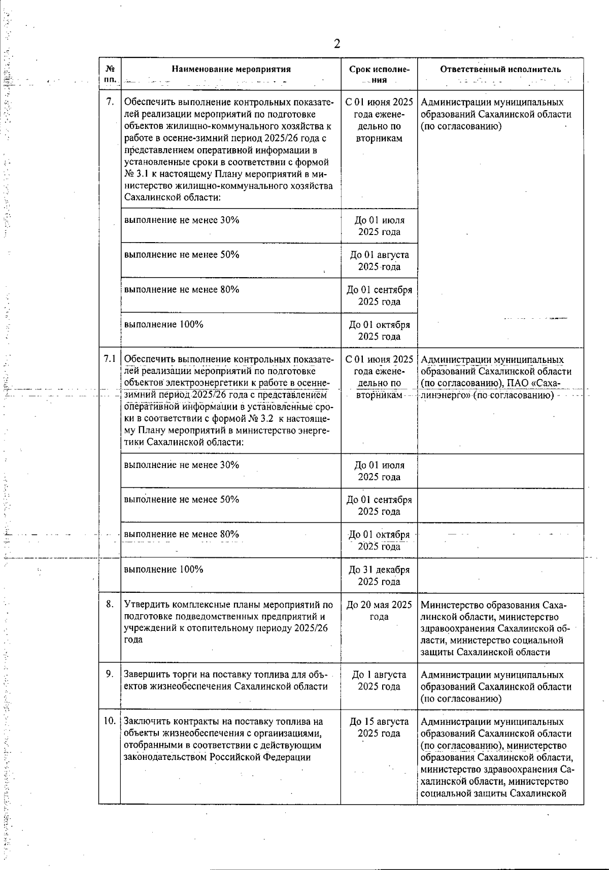
Распоряжение Правительства Сахалинской области от 19.05.2025 № 337-р
"О подготовке основных систем жизнеобеспечения Сахалинской области к осенне-зимнему периоду 2025/26 года"
Номер опубликования: 6500202505280002
Дата опубликования: 28.05.2025
Страница №9 из 26:
Увеличить