Официальное опубликование правовых актов
ОФИЦИАЛЬНОЕ ОПУБЛИКОВАНИЕ
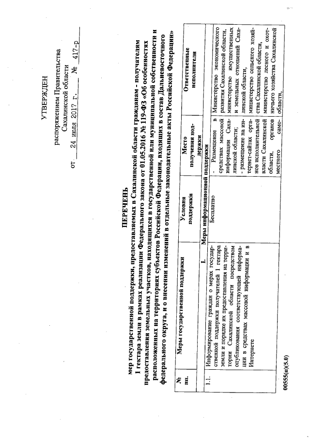
Распоряжение Правительства Сахалинской области от 24.07.2017 № 417-р
"О мерах государственной поддержки, предоставляемых в Сахалинской области гражданам - получателям 1 гектара земли в рамках реализации Федерального закона от 01.05.2016 № 119-ФЗ "Об особенностях предоставления земельных участков, находящихся в государственной или муниципальной собственности и расположенных на территориях субъектов Российской Федерации, входящих в состав Дальневосточного федерального округа, и о внесении изменений в отдельные законодательные акты Российской Федерации"
Номер опубликования: 6500201707260004
Дата опубликования: 26.07.2017
Страница №5 из 20:
Увеличить