Официальное опубликование правовых актов
ОФИЦИАЛЬНОЕ ОПУБЛИКОВАНИЕ
Приказ Министерства труда и социальной защиты Саратовской области от 10.04.2026 № 326
"О внесении изменения в приказ министерства от 17 мая 2022 года № 537"
(Зарегистрирован 14.04.2026 № 03-2026-1-520)
Номер опубликования: 6401202604220008
Дата опубликования: 22.04.2026
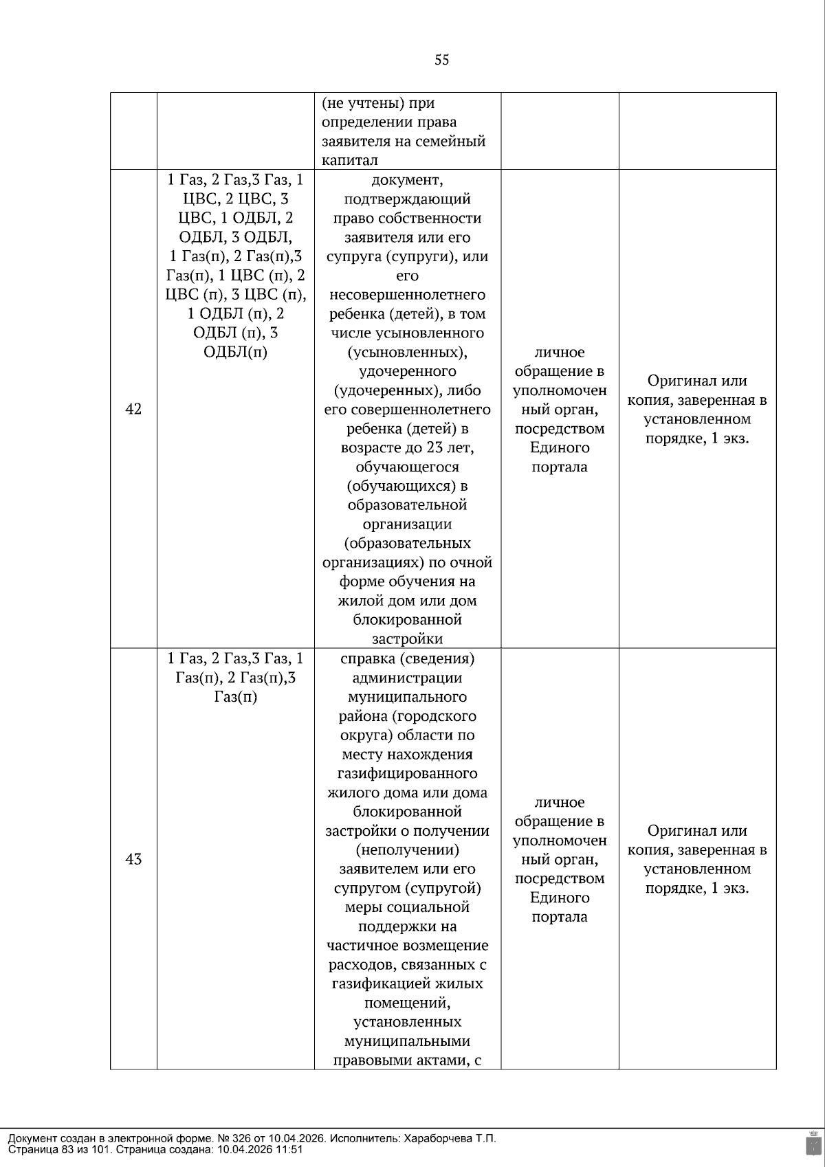
Страница №83 из 101:
Увеличить