Официальное опубликование правовых актов
ОФИЦИАЛЬНОЕ ОПУБЛИКОВАНИЕ
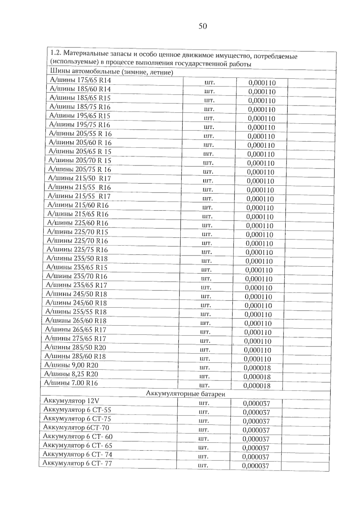
Приказ Управления делами Правительства Саратовской области от 11.02.2026 № 19
"О внесении изменений в приказ управления делами Правительства Саратовкой области от 9 января 2017 года № 2"
(Зарегистрирован 13.02.2026 № 26-2026-1-185)
Номер опубликования: 6401202602210006
Дата опубликования: 21.02.2026
Страница №51 из 100:
Увеличить