Официальное опубликование правовых актов
ОФИЦИАЛЬНОЕ ОПУБЛИКОВАНИЕ
Постановление Правительства Саратовской области от 02.02.2026 № 41-П
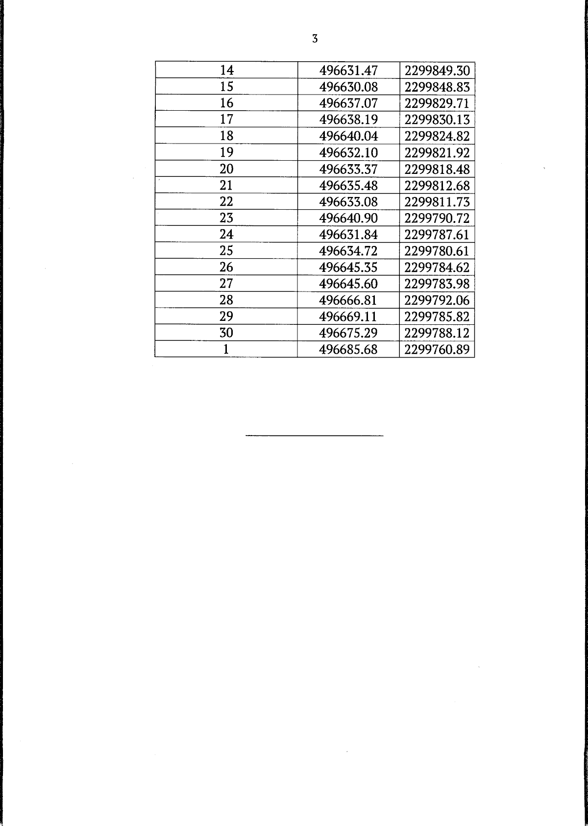
"Об утверждении зон охраны объекта культурного наследия местного (муниципального) значения "Дом усадебный", 1860-е гг., расположенного по адресу: Саратовская область, г. Саратов, ул. Комсомольская, 50 (литер "Е")"
Номер опубликования: 6400202602040002
Дата опубликования: 04.02.2026
Страница №9 из 11:
Увеличить