Официальное опубликование правовых актов
ОФИЦИАЛЬНОЕ ОПУБЛИКОВАНИЕ
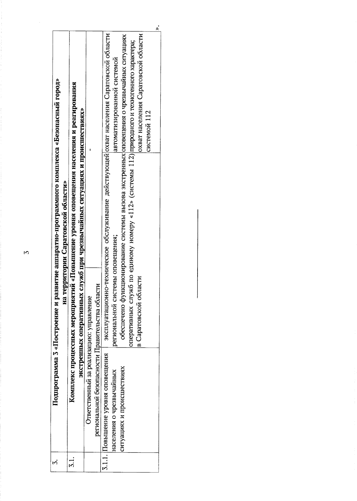
Постановление Правительства Саратовской области от 24.12.2025 № 966-П
"О внесении изменений в государственную программу Саратовской области "Защита населения и территорий от чрезвычайных ситуаций, обеспечение пожарной безопасности"
Номер опубликования: 6400202512300020
Дата опубликования: 30.12.2025
Страница №4 из 4:
Увеличить