Официальное опубликование правовых актов
ОФИЦИАЛЬНОЕ ОПУБЛИКОВАНИЕ
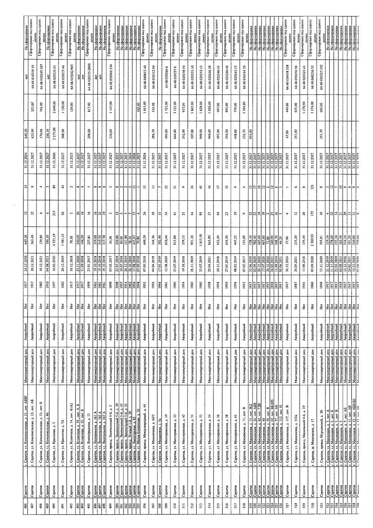
Постановление Правительства Саратовской области от 15.12.2025 № 929-П
"О внесении изменений в постановление Правительства Саратовской области от 26 сентября 2022 года № 931-П"
Номер опубликования: 6400202512190001
Дата опубликования: 19.12.2025
Страница №15 из 30:
Увеличить