Постановление Правительства Саратовской области от 03.12.2025 № 895-П
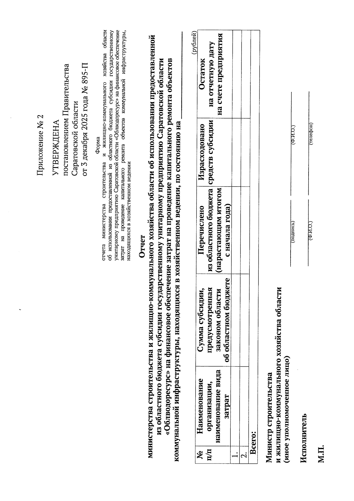
"Об утверждении Положения о порядке предоставления из областного бюджета субсидии государственному унитарному предприятию Саратовской области "Облводоресурс" на финансовое обеспечение затрат на проведение капитального ремонта объектов коммунальной инфраструктуры, находящихся в хозяйственном ведении"
"Об утверждении Положения о порядке предоставления из областного бюджета субсидии государственному унитарному предприятию Саратовской области "Облводоресурс" на финансовое обеспечение затрат на проведение капитального ремонта объектов коммунальной инфраструктуры, находящихся в хозяйственном ведении"
Номер опубликования: 6400202512090005
Дата опубликования:
09.12.2025
