Официальное опубликование правовых актов
ОФИЦИАЛЬНОЕ ОПУБЛИКОВАНИЕ
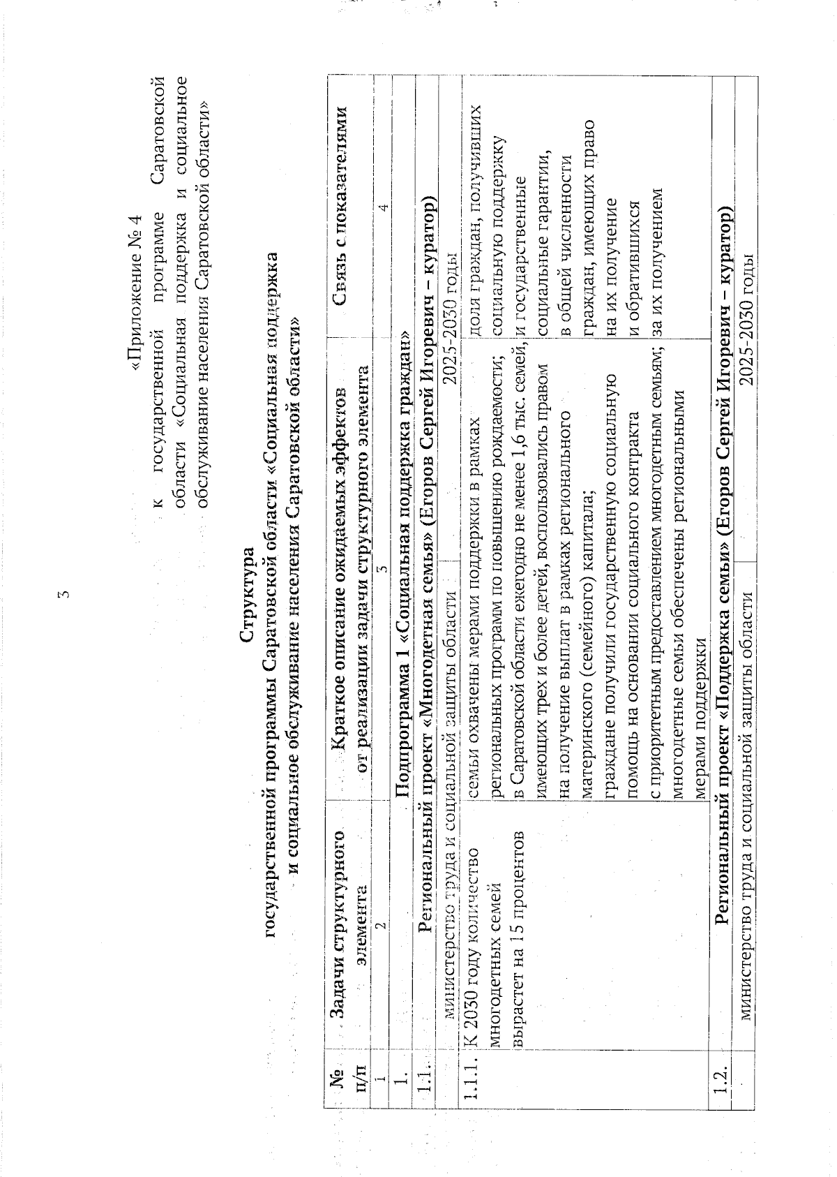
Постановление Правительства Саратовской области от 24.10.2025 № 797-П
"О внесении изменений в государственную программу Саратовской области "Социальная поддержка и социальное обслуживание населения Саратовской области"
Номер опубликования: 6400202510280003
Дата опубликования: 28.10.2025
Страница №4 из 13:
Увеличить