Официальное опубликование правовых актов
ОФИЦИАЛЬНОЕ ОПУБЛИКОВАНИЕ
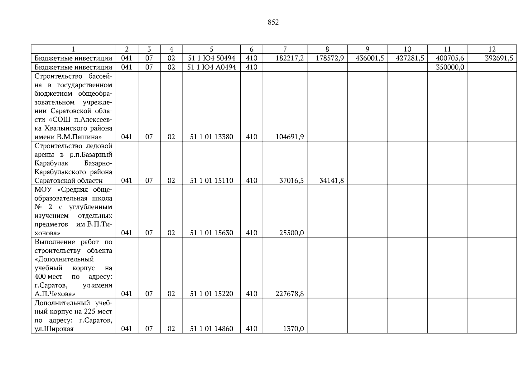
Закон Саратовской области от 21.08.2025 № 58-ЗСО
"О внесении изменений в Закон Саратовской области "Об областном бюджете на 2025 год и на плановый период 2026 и 2027 годов"
Номер опубликования: 6400202508290005
Дата опубликования: 29.08.2025
Страница №852 из 882:
Увеличить