Официальное опубликование правовых актов
ОФИЦИАЛЬНОЕ ОПУБЛИКОВАНИЕ
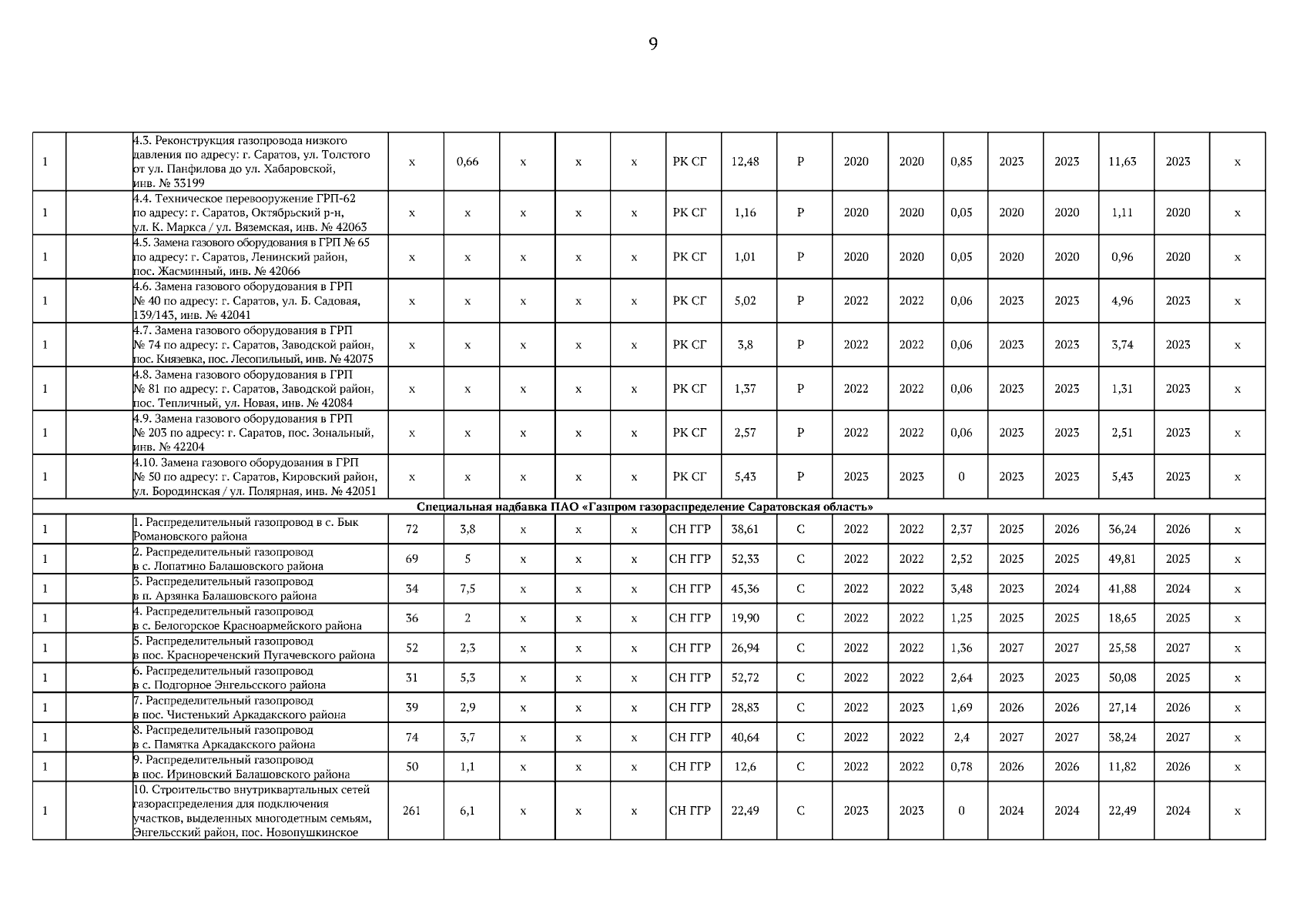
Постановление Правительства Саратовской области от 25.08.2025 № 666-П
"О внесении изменений в постановление Правительства Саратовской области от 30 ноября 2020 года № 948-П"
Номер опубликования: 6400202508270009
Дата опубликования: 27.08.2025
Страница №9 из 582:
Увеличить