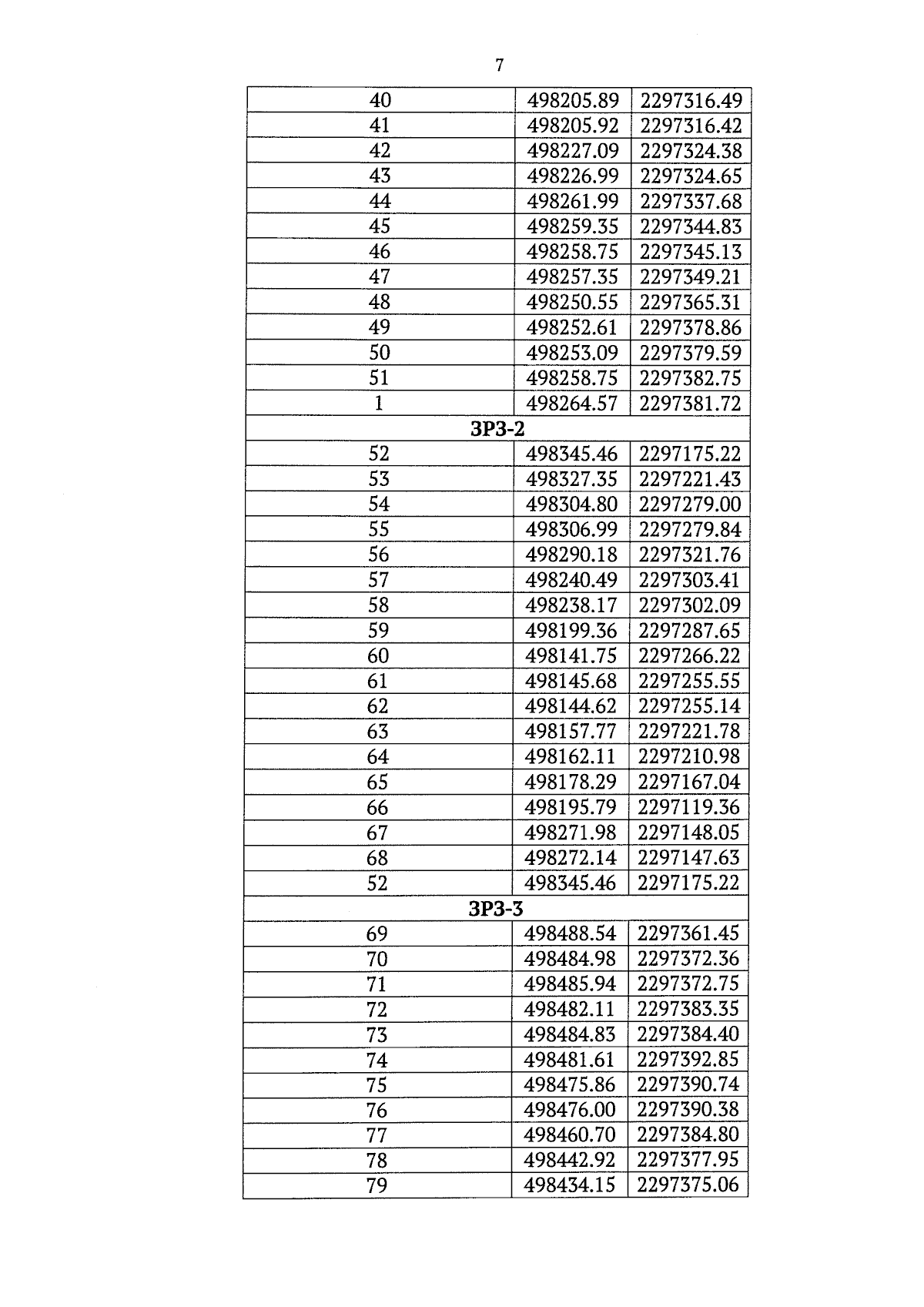
Постановление Правительства Саратовской области от 02.12.2024 № 991-П
"Об утверждении зон охраны объекта культурного наследия регионального значения "Церковь Свято-Серафимовская", кон. XIX в., расположенного по адресу: Саратовская область, г. Саратов, ул. Большая Горная, зд. 351/70"
"Об утверждении зон охраны объекта культурного наследия регионального значения "Церковь Свято-Серафимовская", кон. XIX в., расположенного по адресу: Саратовская область, г. Саратов, ул. Большая Горная, зд. 351/70"
Номер опубликования: 6400202412060010
Дата опубликования:
06.12.2024
