Официальное опубликование правовых актов
ОФИЦИАЛЬНОЕ ОПУБЛИКОВАНИЕ
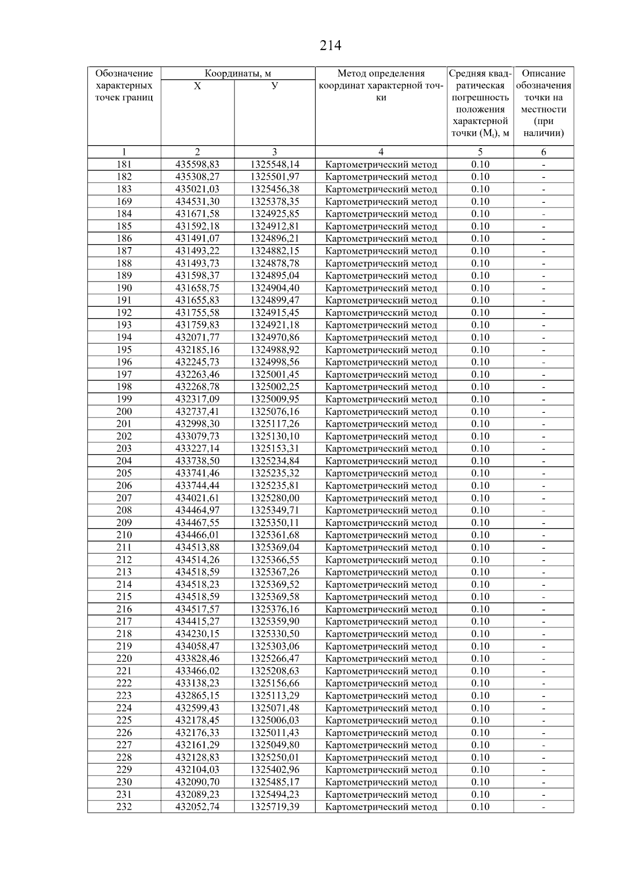
Приказ Министерства градостроительной политики Самарской области от 02.03.2026 № 142-п
"Об утверждении изменений в Правила землепользования и застройки сельского поселения Нижнее Санчелеево муниципального района Ставропольский Самарской области, утвержденные решением Собрания представителей сельского поселения Нижнее Санчелеево муниципального района Ставропольский Самарской области от 30.12.2013 № 86"
(Зарегистрирован 02.03.2026 № МГП-26-142)
Номер опубликования: 6301202603030001
Дата опубликования: 03.03.2026
Страница №220 из 238:
Увеличить