Официальное опубликование правовых актов
ОФИЦИАЛЬНОЕ ОПУБЛИКОВАНИЕ
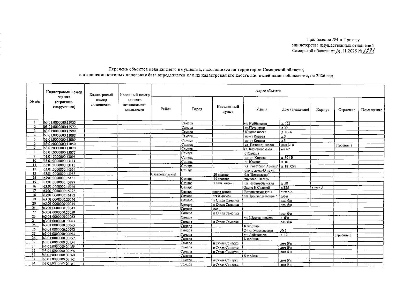
Приказ Министерства имущественных отношений Самарской области от 24.11.2025 № 2291
"Об определении Перечня объектов недвижимого имущества, находящихся на территории Самарской области, в отношении которых налоговая база определяется как их кадастровая стоимость, для целей налогообложения, на 2026 год"
(Зарегистрирован 24.11.2025 № МИО-25/2291)
Номер опубликования: 6301202511250003
Дата опубликования: 25.11.2025
Страница №3 из 6:
Увеличить