Официальное опубликование правовых актов
ОФИЦИАЛЬНОЕ ОПУБЛИКОВАНИЕ
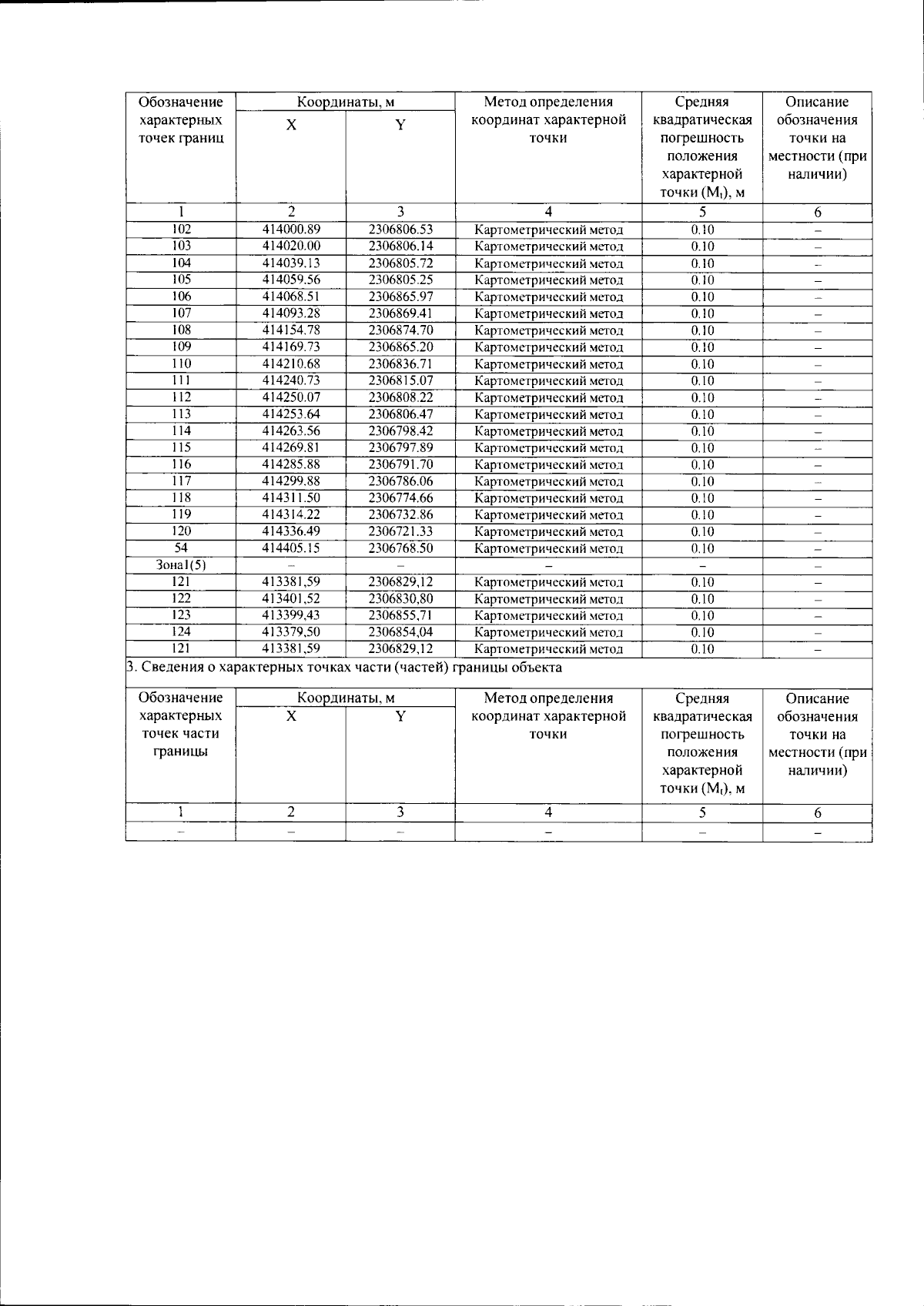
Приказ Министерства градостроительной политики Самарской области от 28.10.2025 № 430-п
"О внесении изменений в Правила землепользования и застройки сельского поселения Березняки муниципального района Кинель-Черкасский Самарской области, утвержденные решением Собрания представителей сельского поселения Березняки муниципального района Кинель-Черкасский Самарской области от 30.12.2013 № 20-1"
(Зарегистрирован 28.10.2025 № МГП-25-430)
Номер опубликования: 6301202510290007
Дата опубликования: 29.10.2025
Страница №13 из 13:
Увеличить