Приказ Министерства энергетики и жилищно-коммунального хозяйства Самарской области от 30.09.2025 № 186
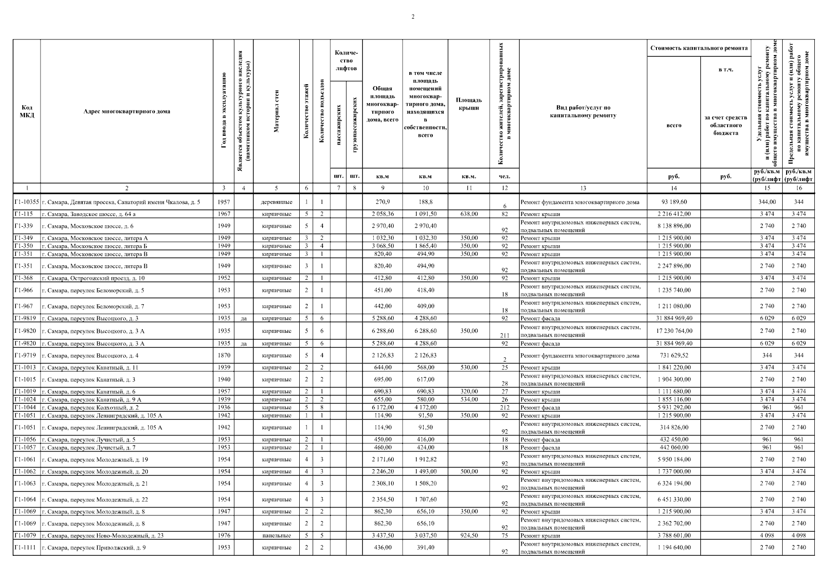
"О внесении изменений в приказ министерства энергетики и жилищно-коммунального хозяйства Самарской области от 28.12.2022 № 279 "Об утверждении регионального краткосрочного плана реализации региональной программы капитального ремонта общего имущества в многоквартирных домах, расположенных на территории Самарской области, на 2023 – 2025 годы"
(Зарегистрирован 30.09.2025 № МЭЖКХ-25-186)
"О внесении изменений в приказ министерства энергетики и жилищно-коммунального хозяйства Самарской области от 28.12.2022 № 279 "Об утверждении регионального краткосрочного плана реализации региональной программы капитального ремонта общего имущества в многоквартирных домах, расположенных на территории Самарской области, на 2023 – 2025 годы"
(Зарегистрирован 30.09.2025 № МЭЖКХ-25-186)
Номер опубликования: 6301202510020001
Дата опубликования:
02.10.2025