Официальное опубликование правовых актов
ОФИЦИАЛЬНОЕ ОПУБЛИКОВАНИЕ
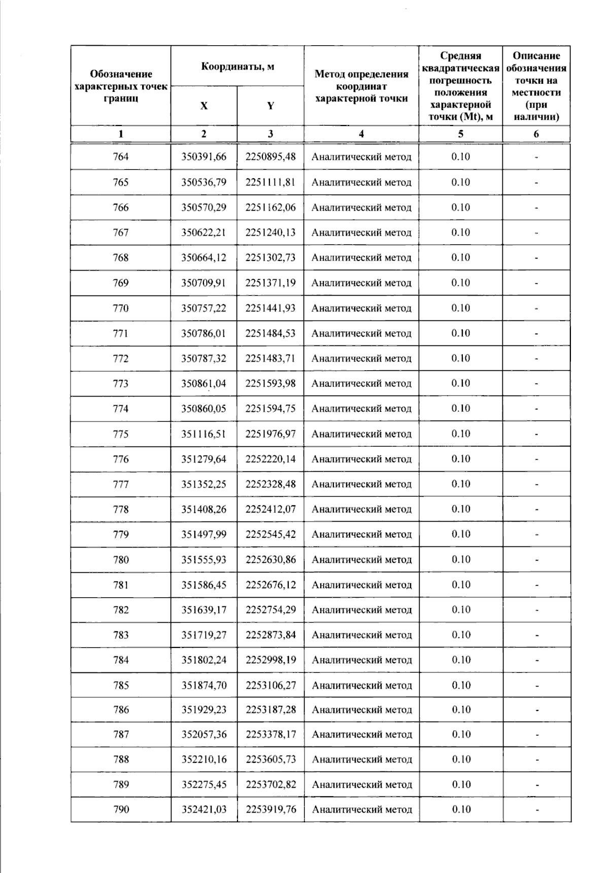
Приказ Министерства транспорта и автомобильных дорог Самарской области от 20.12.2024 № 357
"Об установлении зоны с особыми условиями использования территории – придорожной полосы автомобильной дороги общего пользования регионального значения в Самарской области Богатое – "Самара – Оренбург", расположенной в муниципальных районах Богатовский, Нефтегорский, Алексеевский Самарской области"
(Зарегистрирован 20.12.2024 № МТ-24/357)
Номер опубликования: 6301202412240005
Дата опубликования: 24.12.2024
Страница №67 из 74:
Увеличить